Aramid
Aramid-fiber (Aromatic polyamid) er et varmeresistent og stærkt syntetisk-fiber, som anvendes i skudsikre veste.

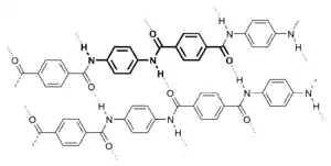
Para-aramids kemiske struktur
I nogle typer bremsebelægniger anvendes det som en erstatning for asbest.
![]() |
Wikimedia Commons har medier relateret til: |
| | Spire Denne artikel om kemi er en spire som bør udbygges. Du er velkommen til at hjælpe Wikipedia ved at udvide den. |
This article is issued from Wikipedia. The text is licensed under Creative Commons - Attribution - Sharealike. Additional terms may apply for the media files.
