Cytidintrifosfat
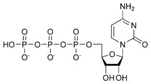
Cytidintrifosfat (CTP) er et nukleotid der består af pyrimidin-basen cytosin forbundet til ribose via en N-glykosidbinding, samt tre fosfatenheder bundet til riboseenhedens 5'-position via fosfatesterbindinger.

Den kemiske struktur af cytidintrifosfat
Se også
| | Spire Denne biokemiartikel er en spire som bør udbygges. Du er velkommen til at hjælpe Wikipedia ved at udvide den. |
This article is issued from Wikipedia. The text is licensed under Creative Commons - Attribution - Sharealike. Additional terms may apply for the media files.