N-terminus
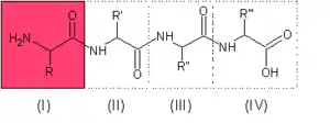
N-terminus eller N-terminal er betegnelsen for den ende af et protein eller peptid som afsluttes med en aminogruppe (-NH2). Den modsatte ende kaldes C-terminus eller C-terminal.

Alle aminosyrer indeholder mindst en aminogruppe og mindst en carboxylsyregruppe. Ved sammenkobling af to aminosyrer forbindes en carboxylsyregruppe på den ene aminosyre med en aminogruppe på den anden ved en kondensationsreaktion. Det fremkomne dipeptid har også en aminogruppe i den ene ende og en carboxylsyre i den anden. Yderligere aminosyrer sættes på på tilsvarende måde, men der vil altid være fri aminogruppe i den ende anden og en syregruppe i den anden.
Når et protein bliver syntetiseret i en organisme sker det altid fra den N-terminale ende, der bliver altså sat nye aminosyrer på proteinets frie carboxylsyregruppe.
Nummerering af aminosyrerester i et protein eller peptid sker fra den N-terminale ende mod C-terminalen.
| | Spire Denne naturvidenskabsartikel er en spire som bør udbygges. Du er velkommen til at hjælpe Wikipedia ved at udvide den. |