Uridintrifosfat
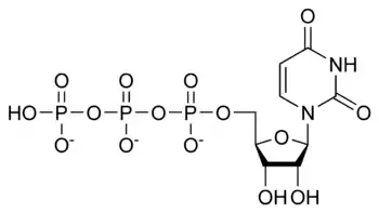
Uridintrifosfat (UTP) er et nukleotid der består af pyrimidin-basen uracil forbundet til ribose via en N-glykosidbinding, samt tre fosfatenheder bundet til riboseenhedens 5'-position via fosfatesterbindinger.

Den kemiske struktur af uridintrifosfat
This article is issued from Wikipedia. The text is licensed under Creative Commons - Attribution - Sharealike. Additional terms may apply for the media files.