Amylose

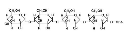
Amylose er et kulhydrat, og den ene af to slags stivelse der findes i planter. Det andet er amylopektin. Amylose er et uforgrenet polysaccharid, der består af lange kæder af glukose forbundet med α(1→4)-bindinger. Amylose kan nedbrydes af enzymet amylase, der binder glukosemolekyler af fra enderne af de lange kæder.