Bøjning af plader
Bøjning af plader herunder nedbøjning af bjælke refererer i mekanikkens verden til afbøjningen af en plade vinkelret på pladens plan under påvirkning af ydre kræfter og momenter. Mængden af afbøjning kan bestemmes ved at løse differentialligninger af en passende pladeteori. Spændingerne i pladen kan beregnes ud fra disse nedbøjninger. Når man kender spændingerne, kan svigt (failure) teorier anvendes til at bestemme, om en plade vil gå i stykke (brydes) under en given belastning.
Bøjning af Kirchhoff-Love plader
I Kirchhoff-Love pladeteori for plader er de vigtigste ligninger:
hvor er anvendt tværgående belastning per arealenhed.
Tykkelsen af pladen er
spændingerne er , og
er spænding og har enheder af kraft per længde, og har enheder af moment per længde.
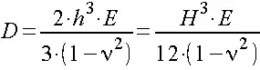
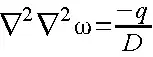
For isotrope og homogene plader med Youngs modul og Poissons forhold kan disse ligninger reduceres til:
her skrevet med nabla-operatoren,
og hvor
er nedbøjning af pladens midte
og hvor
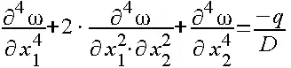
.
I rektangulære kartesiske koordinater opskrives det som

.