Carvon
| Carvon | |
|---|---|
![]() | |
| Generelt | |
| Systematisk navn | 2-methyl-5-(prop-1-en-2-yl) cyclohex-2-enon |
| Andre navne | Δ6:8(9)-p-menthadien-2-one 1-methyl-4-isopropenyl- Δ6-cyclohexen-2-one carvol (gammelt) |
| Molekylformel | C10H14O |
| Molmasse | 150,22 |
| Fremtræden | Klar, farveløs væske |
| CAS nummer | [[6485-40-1] ((R)-Carvon) [2244-16-8] ((S)-Carvon)] |
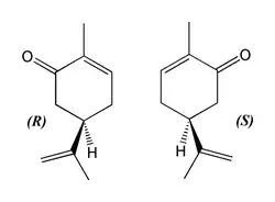
| SMILES | O=C1C[C@@H](C\C=C1\C)C(C)=C (R) O=C1C[C@H](C\C=C1\C)C(C)=C (S) |
| Egenskaber | |
| Massefylde | 0.958 g/cm3 |
| Smeltepunkt | 89 |
| Kogepunkt | 231 |
| Specifik rotation [α]D | -61° (R)-Carvon 61° (S)-Carvon |
| Sikkerhed | |
| MSDS | Eksternt MSDS |
| Hvis ikke andet er angivet, er data givet for stoffer i standardtilstanden (ved 25 °C, 100 kPa) | |
Carvon er en organisk kemisk forbindelse, som tilhører gruppen af terpenoider.[1] Carvon findes i mange æteriske olier, blandt andet i store mængder i olier fra kommen og dild.[2]
Stereoisomeri og duft
Carvon findes i to spejlbilledstrukturer eller enantiomerer: S-(+)-carvon, der dufter af kommen, og R-(–)-carvon, som dufter af spearmint.[3] Ikke alle enantiomerer har dog så forskellige dufte.
Forekomst
S-(+)-Carvon udgør hovedbestanddelen (50-70 %) af olien fra kommenfrø (Carum carvi),[4]. Der er næsten lige så stor forekomst (40-60 %) af carvon i dildfrøolie (from Anethum graveolens) og i olie fra mandarinskræl. Mere end 51 % af olien i grøn mynte (Mentha Spicata) er R-(–)-Carvon. Nogle olier indeholder begge enantiomerer. Mange olier indeholder lavere koncentrationer af carvonerne.
Historie
Kommen blev brugt til medicinske formål af de gamle romere,[2] men carvon blev sandsynligvis først isoleret som en ren forbindelse i 1849 af Franz Varrentrapp.[1] Oprindeligt blev det kaldt carvol. Det blev identificeret som en keton som mindede om limonen, og strukturen blev opklaret af Jegor Jegorowitsch Wagner i 1894.[5]
Fremstilling
S-(+)-Carvon i næsten helt ren form kan får ved fraktionel destillation af olie fra kommenfrø. R-(–)-carvon fremstilles fra de olier det findes i ved first at danne additionsforbindelse med hydrogensulfid, ødelæggelse af denne forbindelse med kaliumhydroxid i ethanol og destillere produktet i ved dampdestillation. Det kan fremstilles syntetisk fra limonennitrosoklorid der kan omdannes til l-carvoxime, som under kogning med fortyndet svovlsyre resulterer i l-carvon.
Biosyntesen af carvon sker ved oxidation af limonen.
Anvendelse
Begge carvoner bruges i fødevare- og aromaindustrien.[2] R-(-)-Carvon bruges også til luftfriskende produkter, og, som mange essentielle olier, benyttes olier der indeholder carvon i aromaterapi og alternativ medicin. Carvon benyttes i mange fødevarer og søde sager. Spearmintsmagen i tyggegummi og tandpasta stammer fra l-carvon. Indenfor landbruget benyttes d-carvon til at forhindre for tidlig spiring af kartofler under opbevaring.
Kilder
- 1 2 Simonsen, J. L. (1953). The Terpenes. Vol. 1 (2 udgave). Cambridge: Cambridge University Press. s. 394-408.
- 1 2 3 De Carvalho, C. C. C. R; Da Fonseca, M. M. R. "Carvone: Why and how should one bother to produce this terpene" Food Chemistry 2006, 95, 413-422.
- ↑ Theodore J. Leitereg, Dante G. Guadagni, Jean Harris, Thomas R. Mon, and Roy Teranishi (1971). "Chemical and sensory data supporting the difference between the odors of the enantiomeric carvones". J. Agric. Food Chem. 19 (4): 785. doi:10.1021/jf60176a035.
{{cite journal}}: CS1-vedligeholdelse: Flere navne: authors list (link) - ↑ Hornok, L. Cultivation and Processing of Medicinal Plants, John Wiley & Sons, Chichester, UK, 1992.
- ↑ Wagner, G. Chemische Berichte 1894, 27, 2270.
