Cytidindifosfat

Cytidindifosfat (CDP) er et nukleotid der består af pyrimidin-basen cytosin forbundet til ribose via en N-glykosidbinding, samt to fosfatenheder bundet til riboseenhedens 5'-position via fosfatesterbindinger.

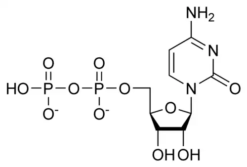
Cytidindifosfat (CDP) er et nukleotid der består af pyrimidin-basen cytosin forbundet til ribose via en N-glykosidbinding, samt to fosfatenheder bundet til riboseenhedens 5'-position via fosfatesterbindinger.