Dimethylformamid
| Dimethylformamid | |||
|---|---|---|---|
![]() | |||
| |||
| IUPAC-navn N,N-Dimethylformamid[1] | |||
| Generelt | |||
| Andre navne | N,N-Dimethylmethanamid[2] | ||
| Forkortelser | DMF | ||
| Molekylformel | C3H7NO | ||
| Molarmasse | 73,10 g mol-1 | ||
| Fremtræden | Farveløs væske | ||
| CAS-nummer | |||
| EC-nummer | 200-679-5 | ||
| PubChem | |||
| SMILES | C[n](C):c:[o] | ||
| DrugBank | DB01844 | ||
| Kemiske egenskaber | |||
| Massefylde | 0,948 g mL−1 | ||
| Opløselighed i vand | Blandbar | ||
| Smeltepunkt | −60,5 °C (212,7 K) | ||
| Kogepunkt | 152–154 °C (425-427 K) | ||
| Refraktionsindeks | 1,4305 (ved 20 °C) | ||
| Viskositet | 0,92 mPa s (ved 20 °C) | ||
| Struktur | |||
| Dipolmoment | 3,86 D | ||
| Termokemi | |||
| DeltaHf | −240,6 – −238,2 kJ mol−1 | ||
| Std. entalpi af forbrænding ΔcH | −1,9428 – −1,9404 MJ mol−1 | ||
| Std. molar varmekapacitet, cp | 146,05 J K−1 mol−1 | ||
| Sikkerhed | |||
| EU klassifikation | Giftig (T) | ||
| NFPA 704 | |||
| R-sætninger | R61, R20/21, R36 | ||
| S-sætninger | S53, S45 | ||
| Flammepunkt | 58 °C (331 K) | ||
| Selvantændelses-temperatur | 445 °C (718 K) | ||
| Explosionsgrænser | 2,2–15,2 % | ||
| LD50 | |||
| Hvis ikke andet er angivet, er data givet for stoffer i standardtilstanden (ved 25 °C, 100 kPa) | |||
Dimethylformamid er en organisk forbindelse med sumformlen (CH3)2NC(O)H. Dimethylformamid forkortes ofte DMF (denne forkortelse kan dog tillige bruges om dimethylfuran eller dimethylfumarat). Under standardbetingelser er DMF en farveløs væske, som er blandbar med vand og de fleste organiske væsker. DMF er et almindeligt brugt opløsningsmiddel til kemiske reaktioner. DMF er lugtløs, men gammel DMF eller DMF til teknisk brug har ofte en fiskeagtig lugt pga. urenheder af dimethylamin. Som navnet indikerer, er DMF et derivat af formamid, dvs. amidet af myresyre. DMF er et polært, hydrofilt, aprot opløsningsmiddel med et højt kogepunkt. Det er velegnet til reaktioner, der følger polære mekanismer, f.eks. SN2-reaktioner.
Struktur og egenskaber
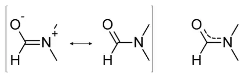
Som for de fleste amider har spektroskopiske undersøgelser vist, at C-N-bindingen og C-O-bindingen har delvis dobbeltbindingskarakter. Infrarød spektroskopi viser således en strækningsfrekvens ved kun 1675 cm−1 for C=O, hvorimod en keton ville absorbere i nærheden af 1700 cm−1.[3] NMR-spektroskopisk set er de to methylgrupper ikke ækvivalente, og i en opløsning af deutereret kloroform (d-kloroform) giver de anledning til to singletter à tre protoner hver ved δ 2,97 og 2,88 på et H NMR-spektrum.[3]
DMF er blandbar med vand.[4] Damptrykket af DMF er 3,5 hPa ved 20 °C.[5] En Henrys lov-konstant på 7,47 × 10−5 hPa m3 mol-1 kan udledes fra en eksperimentelt bestemt ligevægtskonstant ved 25 °C.[6] Fordelingskoefficienten, POW, er blevet målt til -0,85.[7] Idet masefylden af DMF (0,95 g/cm3 ved 20 °C[4]) er sammenlignelig med massefylden af vand, forventes det ikke, at der vil dannes lag af DMF i overfladevand ved spild.

DMF hydrolyseres af stærke syrer og baser, især ved høje temperaturer. Natriumhydroxid omdanner DMF til formiat og dimethylamin.
Produktion
DMF produceres ved reaktion mellem methylformiat og dimethylamin eller mellem dimethylamin og carbonmonoxid.[8] DMF kan desuden dannes ud fra superkritisk kuldioxid ved hjælp af rutheniumkatalysatorer.[9]
Anvendelser
Den primære anvendelse af DMF er som et opløsningsmiddel med lav fordampningshastighed. DMF bruges i produktionen af akrylfibre og plaststoffer. Det bruges tillige som opløsningsmiddel ved syntese af peptider til brug i lægemidler, i udviklingen og produktionen af pesticider og i produktionen af lim, kunstlæder, fibre, film og overfladebehandlingsmidler.[4]
- DMF bruges som reagens i Bouveaults aldehydsyntese og Vilsmeier-Haack-reaktionen, begge nyttige metoder til dannelse af aldehyder.
- Det er et typisk opløsningsmiddel i Heck-reaktionen.
- Det bruges som katalysator i syntesen af acylhalider, især syntesen af acylklorider fra carboxylsyrer ved hjælp af oxalylklorid eller thionylklorid. Den katalytiske mekanisme involverer reversibel dannelse af et imidoylklorid.[10][11]
- DMF trænger ind i de fleste plaststoffer og får dem til at svulme ("swelling"). Denne egenskab gør DMF velegnet som opløsningsmiddel til fastfase-syntese af peptider og som bestanddel i malingfjernere.
- DMF bruges som opløsningsmiddel til at udtrække alkener såsom 1,3-butadien ved hjælp af ekstraktiv destillation.
- Det bruges i produktionen af solventfarvestoffer og som et vigtigt råmateriale.
- Ren acetylengas kan ikke komprimeres og opbevares uden risiko for eksplosion. Industriel acetyl bliver derfor opløst i dimethylformamid og opbevaret i metalcylindre eller -flasker. Emballagen fyldes desuden med agamassan, hvilket gør transporten mere sikker.
Nicheanvendelser
DMF har mange anvendelser i forskningslaboratorier, da det er et almindeligt og billigt reagens.
- DMF er nyttigt til at adskille og opslæmme kulstof-nanorør og anbefales af National Institute of Standards and Technology til brug i nærinfrarød spektroskopisk analyse af disse.[12]
- DMF kan anvendes som standard i H NMR-spektroskopi i forbindelse med kvantitativ analyse af ukendte forbindelser.
- Det bruges i syntesen af organometalliske forbindelser som en kilde til carbonmonoxid-ligander.
- DMF er et almindeligt brugt opløsningsmiddel i elektrospinning.
- DMF anvendes desuden som opløsningsmiddel i solvotermisk analyse af metallo-organiske strukturer.
Sikkerhed
Reaktioner, der involverer natriumhydrid i DMF, kan være farlige; tilfælde af exoterm dekomponering er blevet rapporteret ved temperaturer ned til 26 °C. I forbindelse med eksperimenter i laboratoriet opdages varmeudvikling dog for det meste hurtigt og bliver bragt under kontrol ved hjælp af f.eks. et isbad. På en semi-industriel skala har der dog været adskillige rapporter om ulykker.[13]
Giftighed
DMF's potentielle giftighed har fået betydelig opmærksomhed.[14] Ifølge International Agency for Research on Cancer kan DMF ikke klassificeres som et humant carcinogen,[15] men det er mistænkt for at forårsage medfødte misdannelser.[16] I nogle industrisektorer er det derfor forbudt for kvinder at arbejde med DMF. Til mange reaktioner kan i stedet anvendes det mindre giftige opløsningsmiddel dimethylsulfoxid (DMSO). Mange producenter af DMF angiver "Life" eller "Chronic" som sundhedsfarer i deres sikkerhedsdatablad, idet DMF ikke let udskilles af kroppen.
Referencer
- ↑ "Dimethylformamide – Compound Summary". PubChem Compound. USA: National Center for Biotechnology Information. september 2004. Identification. Arkiveret fra originalen 5. august 2014. Hentet 2012-06-28. (engelsk)
- ↑ N,N-Dimethylmethanamide Arkiveret 25. december 2016 hos Wayback Machine, NIST web thermo tables. (engelsk)
- 1 2 "Dimethylformamide". Spectral Database for Organic Compounds. Japan: AIST. Hentet 2012-06-28.
{{cite web}}: CS1-vedligeholdelse: url-status (link) (engelsk) - 1 2 3 Bipp, H.; Kieczka, H. (2005), "Formamides", Ullmann's Encyclopedia of Industrial Chemistry, Weinheim: Wiley-VCH, doi:10.1002/14356007.a12_001.pub2 Arkiveret 20. august 2016 hos Wayback Machine. (engelsk)
- ↑ IPCS (International Programme on Chemical Safety) (1991). Environmental Health Criteria 114 “Dimethylformamide” United Nations Environment Programme, International Labour Organisation, World Health Organization; 1–124. (engelsk)
- ↑ Taft, R. W.; Abraham, M. H.; Doherty, R. M.; Kamlet, M. J. (1985). "The molecular properties governing solubilities of organic nonelectrolytes in water". Nature. 313 (6001): 384-386. doi:10.1038/313384a0. (engelsk)
- ↑ (BASF AG, department of analytical, unpublished data, J-No. 124659/08, 27.11.1987) (engelsk)
- ↑ Weissermel, K.; Arpe, H.-J. (2003). Industrial Organic Chemistry: Important Raw Materials and Intermediates. Wiley-VCH. s. 45-46. ISBN 3-527-30578-5. (engelsk)
- ↑ Walter Leitner; Philip G. Jessop (1999). Chemical synthesis using supercritical fluids. Wiley-VCH. s. 408–. ISBN 978-3-527-29605-7. Arkiveret fra originalen 18. august 2020. Hentet 27. juni 2011. (engelsk)
- ↑ Clayden, J. (2001). Organic Chemistry. Oxford: Oxford University Press. s. 276–296. ISBN 0-19-850346-6. (engelsk)
- ↑ Ansell, M. F. in "The Chemistry of Acyl Halides"; S. Patai, Ed.; John Wiley and Sons: London, 1972; pp 35–68. (engelsk)
- ↑ Haddon, R.; Itkis, M. (marts 2008). "3. Near-Infrared (NIR) Spectroscopy". I Freiman, S.; Hooker, S.; Migler; K.; Arepalli, S. (red.). Publication 960-19 Measurement Issues in Single Wall Carbon Nanotubes (pdf). NIST. s. 20. Arkiveret fra originalen 8. april 2013. Hentet 2012-06-28. (engelsk)
- ↑ UK Chemical Reaction Hazards Forum Arkiveret 6. oktober 2011 hos Wayback Machine og referencer citeret deri. (engelsk)
- ↑ Redlich, C.; Beckett, W. S.; Sparer, J.; Barwick, K. W.; Riely, C. A.; Miller, H.; Sigal, S. L.; Shalat, S. L.; Cullen, M. R. (1988). "Liver disease associated with occupational exposure to the solvent dimethylformamide". Annals of Internal Medicine. 108 (5): 680-686. doi:10.7326/0003-4819-108-5-680. PMID 3358569. (engelsk)
- ↑ "Agents Classified by the IARC Monographs, Volumes 1–116" Arkiveret 24. december 2017 hos Wayback Machine (hentet 8. august 2016). (engelsk)
- ↑ Hazardous substance fact sheet Arkiveret 10. januar 2017 hos Wayback Machine for dimethylformamid (hentet 8. august 2016). (engelsk)
Eksterne henvisninger
- Beskrivelse af dimethylformamid fra Miljøstyrelsens hjemmeside Arkiveret 14. august 2016 hos Wayback Machine (hentet 7. august 2016).
- Concise International Chemical Assessment Document 31: N,N-Dimethylformamide Arkiveret 28. oktober 2020 hos Wayback Machine (besøgt 7. august 2016). (engelsk)
- Beskrivelse af dimethylformamid på kemikalieleverandøren Sigma-Aldrichs hjemmeside Arkiveret 14. august 2016 hos Wayback Machine (besøgt 7. august 2016). (engelsk)


