Makrocyklisk forbindelse
En makrocyklisk forbindelse (fra græsk makros, "lang" og kyklos, "ring") er et kovalent ring-lukket organisk molekyle. Ikke alle ring-lukkede molekyler kan betegnes som makrocykler, idet der stilles særlige krav til ringens størrelse og art. En afgrænsende definition er givet af Edwin C. Constable, som definerer en makrocyklisk forbindelse som et cyklisk molekyle med kun én ring bestående af mindst ni atomer, hvoraf mindst tre af dem er potentielle donoratomer.[1] Denne definition udelukker metallocykler, heterocykliske forbindelser, cyclohexan-derivater og monosakkarider (som glukose) fra betegnelsen. Cykliske molekyler som indeholder to fusionerede makrocykler benævnes kryptander eller makrobicykler. Arbejdet med makrocykler kategoriseres ofte som hørende under den supramolekylære kemi.[2]

Et prominent eksempel på en makrocyklisk forbindelse i naturen er hæm i hæmoglobin.
Den første kunstigt fremstillede makrocykliske forbindelse blev syntetiseret ved et tilfælde i 1961 af den newzealandske kemiker Neil F. Curtis.[3]
De tre kemikere Donald D. Cram, Jean-Marie Lehn og Charles J. Pedersen delte i 1987 nobelprisen i kemi for hhv. formuleringen af det supramolekylære koncept om værts-gæst interaktioner, opdagelsen af den første kryptand og opdagelsen af kroneetherne.[4]
Egenskaber
Den makrocykliske effekt
Tekst mangler, hjælp os med at skrive teksten
Fremstilling
I fremstillingen af makrocykler, er den største syntesemæssige udfordring at finde frem til de betingelser som favoriserer et diskret cyklisk produkt over et lineært polymerisk produkt.

Ring-dannelse kræver, at de reagerende funktionaliteter reagerer på en ordnet og kontrolleret måde. Generelt kan dette sikres ved enten at udføre syntesen under meget fortyndede forhold med langsom omrøring og lange reaktionstider - og dermed drage nytte af Ziegler-Ruggi fortyndingsprincippet, eller ved at udføre syntesen under tilstedeværelsen af en metal-ion. Den sidste strategi benævnes templating.[2]
Non-template syntese
Non-template synteser benyttes typisk til at fremstille kroneethere, aza makrocykler og porfyriner. Høj-fortyndings betingelser er ikke nødvendige når kroneethere og azamakrocykler dannes igennem tosyleringer. Dette skyldes, at den fyldige tosylat gruppe skaber en sterisk barriere - så der ikke er plads til nye indtrængende reagenser. Curtis makrocyklen kan også fremstilles uden benyttelse af høj-fortyndings betingelser, idet sekundære hydrogenbindings interaktioner præ-samler ringen.[1]
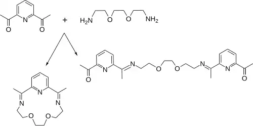
Template syntese
Metal-ionen vil koordinere til begge reaktanter og dermed arrangere de reagerende funktionelle grupper rumligt tæt på hinanden. Dette øger den statistiske sandsynlighed for at danne et ring-lukket produkt. Denne effekt er kendt som den kinetiske template effekt.[2]
I de få kinetiske studier af effekten der er foretaget sås ingen rate forøgelse ved templating - snarere tværtimod. Det leder til konklusionen, at fænomenet er baseret mere på en organisatorisk effekt end på en rate-accelererende effekt.[5][6]
Ofte vil metal-ionen forblive koordineret til det dannede produkt. Da det dannede makrocykliske metalkompleks typisk er mere stabilt end det konkurrerende lineærte organiske produkt, haves i sådanne tilfælde en yderligere termodynamisk template effekt.
Biologisk forekommende makrocykler
Hæm
Tekst mangler, hjælp os med at skrive teksten
Klorofyl
Tekst mangler, hjælp os med at skrive teksten
Vitamin B12
Tekst mangler, hjælp os med at skrive teksten
Anvendelser
Lægemidler
Tekst mangler, hjælp os med at skrive teksten
MR-kontrastmidler
Tekst mangler, hjælp os med at skrive teksten
Tilsætningsstoffer
Tekst mangler, hjælp os med at skrive teksten
Chelation terapi
Tekst mangler, hjælp os med at skrive teksten
Farvestoffer
Tekst mangler, hjælp os med at skrive teksten
Kilder
- 1 2 Constable, E. C. Coordination Chemistry of Macrocyclic Compounds 1999 ISBN 978-0-19-855692-3
- 1 2 3 Steed, J. W., Atwood J. L. Supramolecular Chemistry 2009 ISBN 978-0-470-51234-0
- ↑ Flood K. Comparative X-ray Structure Analyses of Multidentate Transition Metal Complexes 2006 (Webside ikke længere tilgængelig).
- ↑ Nobelprize.org. The Nobel Prize in Chemistry 1987.
- ↑ Rotondo, E., Priolo F. C. (1982). "Mechanism of Formation of Schiff Base Complexes. Part 3. Kinetic Template Effect of Copper(II) in the Condensation Reaction of the Salicylaldehydato-ion with a Polyfunctional Diprimary Amine". J.C.S. Dalton Trans.: 1825-1828. doi:10.1039/DT9820001825.
{{cite journal}}: CS1-vedligeholdelse: Flere navne: authors list (link) - ↑ Melson, G. A., Funke, L. A. (1984). "Mechanisms of in situ Macrocyclic Ligand Synthesis, 2. Kinetics and Mechanism of Formation of a Nickel(II) Complex Containing an N4 Donor Macrocyclic Ligand". Inorganica Chimica Acta: 19-25. doi:10.1016/S0020-1693(00)82531-1.
{{cite journal}}: CS1-vedligeholdelse: Flere navne: authors list (link)