Tre-stratumteorien
Tre-stratumteorien er en videnskabelig teori om kognitive evner foreslået af den amerikanske psykolog John Carroll i 1993.[1][2] Den er baseret på en faktoranalyse af korrelationen af individuelle forskelle af variabler af data fra intelligenstest og skolekarakterer. Disse analyser foreslog en tre-lags model, hvor hvert lag udgør variationer i sammenhængen af det foregående lag.
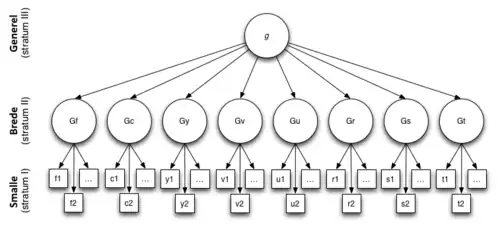
De tre lag består på det øverste hierarkiske lag af en g-faktor som er en bred mental evne. Næste lag består af brede emnespecifikke evner, såsom auditiv bearbejdning og visuel forarbejdning. Det sidste lag består af meget smalle specifikke evner. Faktorerne beskriver stabile og observerbare forskelle mellem personer i udførelsen af opgaver. Carroll hævder endvidere, at de ikke blot er artefakter af en matematisk proces, men sandsynligvis afspejler reelle fysiologiske faktorer, der forklarer forskelle i evner.

Referencer
- ↑ J. B. Carroll (1993), Human cognitive abilities: A survey of factor-analytic studies, Cambridge University Press, New York, NY, USA.
- ↑ J. B. Carroll (1997), "The three-stratum theory of cognitive abilities" in D. P. Flanagan, J. L. Genshaft et al., Contemporary intellectual assessment: Theories, tests, and issues, Guilford Press, New York, NY, USA, pp.122-130.