Guanosindifosfat
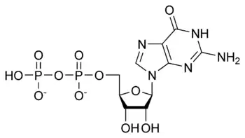
Guanosindifosfat (GDP) er et nukleotid der består af purin-basen guanin forbundet til ribose via en N-glykosidbinding, samt to fosfatenheder bundet til riboseenhedens 5'-position via fosfatesterbindinger.

Den kemiske struktur af guanosindifosfat
This article is issued from Wikipedia. The text is licensed under Creative Commons - Attribution - Sharealike. Additional terms may apply for the media files.