Guanosintrifosfat
Guanosintrifosfat (GTP) er et biologisk energi- og effektormolekyle, der indgår i mange vigtige cellulære processer. Molekylet indeholder en del energi, der kan frigøres ved hydrolyse af den yderste fosfatgruppe, hvorved der dannes guanosindifosfat, GDP. De to former af molekylet er vigtige for en del proteiner (kaldet G-proteiner), der benytter energien og forskellen på GTP og GDP til at antage forskellige funktionelle tilstande. Eksempler på G-proteiner er elongerings faktor Tu (EF-Tu), der bringer tRNA til ribosomet under proteinsyntesen, og proteinet ras, der er involveret i mange menneskelige kræftformer.

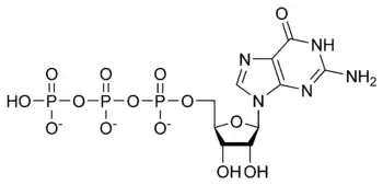
GTP er et nukleotid, der består af purin-basen guanin forbundet til ribose via en N-glykosidbinding; på riboseenhedens 5'-position er bundet tre fosfatenheder via en esterbinding.
Cellulære funktioner
Celler anvender GTP til syntese af RNA, og som kilde til kemisk energi der kan kobles til termodynamisk ufavorable reaktioner og gøre dem favorable, særligt i proteinsyntese. GTP spiller også en vigtig rolle i signaltransduktion, hvor en gruppe signalproteiner kaldet G-proteiner aktiveres ved at et bundet molekyle GDP skiftes ud med GTP.
Metabolisme
GTP dannes i citronsyrecyklus, hvor fosforylering af GDP til GTP er koblet til hydrolyse af succinyl CoA, i en reaktion katalyseret af enzymet succinyl CoA syntetase (også kendt som succinat thiokinase):
Succinyl CoA + GDP + Pi → Succinat + CoA + GTP
GTP kan herefter enten bruges af cellen f.eks. som energikilde til proteinsyntese, eller omdannes til ATP af enzymet nukleosid difosfokinase:
GTP + ADP ↔ GDP + ATP