Maple
Denne artikel bør gennemlæses af en person med fagkendskab for at sikre den faglige korrekthed.
![]() | |
| Udvikler(e) | Maplesoft |
|---|---|
| Stabil version | Maple 2020.0 |
| Operativsystem | Windows, macOS, Linux |
| Tilgængelig på | engelsk, japansk [1] |
| Type | Matematik |
| Hjemmeside | http://www.maplesoft.com/products/maple/ |
Maple (forkortelse for:[2] Mathematical manipulation language)[3] er et kommercielt[4] matematik-computerprogram som fokuserer på symbolske og numeriske løsninger til matematiske problemer. Dermed indeholder Maple et Computer Algebra System (CAS).[5] Maple findes til tre styresystemer.[6]

Historie
Maple blev oprindeligt udviklet[7] i 1981 ved University of Waterloo i Ontario, Canada.[8]
Maples logo er et blad;[9] som ligner ahorntræets blad i Canadas flag, der hedder the Maple Leaf Flag.[10]
Programmet blev solgt og udvikles siden af firmaet Maplesoft;[11] i september 2009 blev Maple og Maplesoft købt af den japanske softwareforhandler Cybernet Systems.[12]
Af programmets version historie
Siden 2015 har hver version af Maple adopteret et årstal som versionsnummer.[11] I marts 2020[13] blev Maple 2020.0 lanceret.[14]


Features og kommandoer
- Computer Algebra System (CAS)[5] til matematiske beregninger: symbolsk, algebraisk og numerisk løsning af matematiske problemer, f.eks.[15]
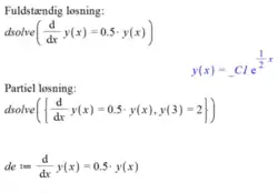
- "pretty-printing" af matematiske formler (se infoboksens illustration og nedenfor illustration af differentialligning.)
- løse ligning[3] med[16] denne kommando[17]: solve (Dette er et eksempel.)
- beregne differentialkvotient med denne kommando[18]:
- beregne ubestemt integrale (stamfunktion) med denne kommando[19]:
- beregne bestemt integrale (areal) med denne kommando[20]:
- beregne grænseværdier[17][5]
- Maple løser differentialligning med[21] denne kommando[22]: dsolve , (Dette er et eksempel. Se også illustration og tabel nedenfor).[23]
- Maple kan løse[24] multipelt integral,[25] herunder dobbelt integral og tripel integral.[26]
- konvertere enheder til eller fra SI.[17]
- Matrix og vektorregning[17]
- sumrække (summation)[17][5]
- Finansiel modellering, analyse og applikationsudvikling
- Teknisk beregning: analyse, signalbehandling og visualisering, herunder grafer i 2D og grafer i 3D[17]
- Programmering[17]
Manualer o.a.
Maplesoft har en webside om hjælp til Maple.[27]
Online findes der flere manualer[28] til Maple[29] kommandoer[30] og quick start guides.[31][32]
Styresystemer
Maple findes til disse tre styresystemer:[6]
Presseomtale o.l.
Maple er omtalt i Dagbladet Ingeniøren; Ifølge artiklen kan Maple anvendes som alternativ til grafregneren TI-89; for en række kommandoer er identiske for TI-89 og Maple.[33]
Disse tre CAS-softwares hjælper kunstig intelligens med at lære matematik: Maple, MATLAB og Mathematica.[4]
Maple i undervisning
Siden 2002 har Undervisningsministeriet været opmærksom på anvendelsen af Maple.[34]
Maple finder anvendelse i både folkeskolen[35] og i gymnasiet.[36][37] Maple, Xcas[38] & GeoGebra[39] kan hjælpe med at lære matematik B-niveau[40] og A-niveau.[41][42]
Maple er nævnt på Danske Science Gymnasiers hjemmeside[43] og på en række danske universiteters hjemmesider: KU,[44] AU,[45] AAU,[46] SDU,[47] RUC,[48] DTU[49] & ITU.[50]
Se også
Der findes flere CAS softwares, som har flere kommandoer til fælles med Maple:
Tabel
Maple hører til denne gruppe[52] af CAS-softwares[53]
| Navn | Software licens | Programmeringssprog | MS Windows | macOS | Linux | Andre OS | Kommando løser differentialligning | Note og kilde |
|---|---|---|---|---|---|---|---|---|
| CPMP-Tools | freeware eller fri software | java | Windows | macOS | Linux | [54] | ||
| ExpressionsinBar | freeware eller fri software | ? | 64 bit app for macOS | desolve( , ) | [55] | |||
| GeoGebra | freeware eller fri software | java | Windows | macOS | Linux | Android & iOS | SolveODE([56] | også som web app[57] |
| Maple * | kommerciel | C, Java, Maple | Windows | macOS | Linux | dsolve , [58] | [59] | |
| Mathematica * | kommerciel | Wolfram Language, Lisp | Windows | macOS | Linux | Solaris | DSolve( , )[60] | også som web[61] app[62] |
| MATLAB | kommerciel | C/C++, MATLAB | Windows | macOS | Linux | [63] | ||
| Maxima | freeware eller fri software | Common Lisp | Windows | macOS | Linux | Android | ode2 (eqn, dvar, ivar)[64] | også som online app[65] |
| SageMath | freeware eller fri software | Python 3 | Windows | macOS | Linux | desolve( , )[66] | [67] | |
| Singular | freeware eller fri software | C++ | Windows | macOS | Linux | findes[68] også online[69] | ||
| TI-Nspire CX CAS | kommerciel | ? | Windows | macOS | deSolve(, ,)[70] | [71][72] | ||
| TI-89 simulator & TI-92 Plus emulator | freeware eller fri software | ? | online | deSolve(, ,) | [73][74] | |||
| Xcas | freeware eller fri software | C++ | Windows | macOS | Linux | Android | desolve( , )[75] | [41] |
| Yacas | freeware eller fri software | C++ | Windows | macOS | Linux | OdeSolve( )[76] | [77] | |
* løser også triple integraler.
Referencer
- ↑ "International Language Support in Maple". Maplesoft.
- ↑ Einleitung
- 1 2 https://cs.uwaterloo.ca/research/tr/1983/CS-83-41.pdf
- 1 2 "Facebook trains an artificial intelligence capable of solving equations | Innovation | Spain's News". Arkiveret fra originalen 27. oktober 2020. Hentet 16. december 2020.
- 1 2 3 4 Computer Algebra Systems (CAS) - Maplesoft
- 1 2 Maplesoft Product System Requirements Maplesoft
- ↑ Celebrating 30 Years - Maplesoft Timeline
- ↑ Computer algebra in gravity research | SpringerLink
- ↑ Media Resources - Media Center – Maplesoft
- ↑ National Flag of Canada | The Canadian Encyclopedia
- 1 2 Maple Product History - Maplesoft
- ↑ https://www.maplesoft.com/company/news/releases/2009/2009-07-30-cybernet-systems-co-ltd-to-acquire-maple.aspx
- ↑ Maple 2019 Installation Guide
- ↑ Maple 2020 has launched! - MaplePrimes
- ↑ Maple User Manual
- ↑ solve - Maple Programming Help
- 1 2 3 4 5 6 7 s 88-91 i https://www.maplesoft.com/documentation_center/maple18/usermanual.pdf
- ↑ s 135 i https://www.maplesoft.com/documentation_center/maple18/usermanual.pdf
- ↑ s 140 i https://www.maplesoft.com/documentation_center/maple18/usermanual.pdf
- ↑ s 141 i https://www.maplesoft.com/documentation_center/maple18/usermanual.pdf
- ↑ https://steen-toft.dk/mat/20122013/3g1/difflign/dsolve.pdf
- ↑ s 98 i https://www.maplesoft.com/documentation_center/maple18/usermanual.pdf
- ↑ dsolve - Maple Programming Help
- ↑ https://www2.math.uconn.edu/~hurley/math210/maple_docs/TripleIntegrals.pdf
- ↑ s. 70 i https://www.maplesoft.com/documentation_center/maple18/usermanual.pdf
- ↑ "TripleIntegrals.html". Arkiveret fra originalen 21. august 2017. Hentet 30. oktober 2020.
- ↑ Maple Training Videos, Tutorials and Webinars – Maplesoft
- ↑ Maple Programming Guide
- ↑ All you`ll ever need to know about Maple | Manualzz
- ↑ s. 66-67 & 85 & 87 & 88 i https://www.maplesoft.com/documentation_center/maple18/usermanual.pdf
- ↑ https://www.maplesoft.com/support/training/coursecontent12/QuickStartGuide.pdf
- ↑ https://www.maplesoft.com/support/training/PDF/MapleQuickStart.pdf
- ↑ Farvel, TI-89 | Ingeniøren
- ↑ 028607_UVM_Mat_Kompetencer
- ↑ Formativ feedback i undervisningen med CAS
- ↑ "Arkiveret kopi" (PDF). Arkiveret fra originalen (PDF) 4. marts 2021. Hentet 14. november 2021.
- ↑ "Arkiveret kopi" (PDF). Arkiveret fra originalen (PDF) 14. november 2021. Hentet 14. november 2021.
- ↑ Symbolic algebra and Mathematics with Xcas
- ↑ GeoGebra
- ↑ https://matx.dk/materials/bniveau17.pdf
- 1 2 Giac/Xcas, a free computer algebra system
- ↑ https://mpra.ub.uni-muenchen.de/63898/1/MPRA_paper_63898.pdf
- ↑ Danske Science Gymnasier
- ↑ Medicinsk genetik, Odontologi - 2020/2021
- ↑ "Arkiveret kopi". Arkiveret fra originalen 4. marts 2021. Hentet 4. december 2020.
- ↑ Matematik på første studieår på Aalborg Universitet
- ↑ KE529: Matematiske metoder i kemi og nanovidenskab
- ↑ https://study.ruc.dk/class/view/4338
- ↑ DTU Course Website 01005
- ↑ Undervisningsmaterialer med LaTeX og PDF
- 1 2 "Facebook's AI Mathematician Can Solve University Calculus Problems". Arkiveret fra originalen 20. februar 2021. Hentet 10. december 2020.
- ↑ Top 20 Best Computer Algebra Systems for Linux in 2020
- ↑ Comparison of computer algebra systems
- ↑ "CPMP-Tools Software". Arkiveret fra originalen 12. januar 2020. Hentet 23. december 2020.
- ↑ ExpressionsinBar
- ↑ SolveODE Command - GeoGebra Manual
- ↑ GeoGebra Classic - GeoGebra
- ↑ interactive symbolic and numeric solution of ordinary differential equations - Maple Programming Help
- ↑ https://www.maplesoft.com/
- ↑ Introduction to Differential Equation Solving with DSolve—Wolfram Language Documentation
- ↑ Wolfram|Alpha: Computational Intelligence
- ↑ Wolfram Mathematica: Modern Technical Computing
- ↑ MATLAB - MathWorks - MATLAB & Simulink
- ↑ Functions and Variables for Differential Equations (Maxima 5.44.0 Manual)
- ↑ Online Algebra Calculator | Maxima-online
- ↑ Solving ordinary differential equations — Sage 9.2 Reference Manual: Symbolic Calculus
- ↑ SageMath - Open-Source Mathematical Software System
- ↑ Singular
- ↑ "Singular". Arkiveret fra originalen 20. juli 2017. Hentet 23. december 2020.
- ↑ "Differentialligninger - TI-nspire hjælp". Arkiveret fra originalen 23. oktober 2020. Hentet 20. december 2020.
- ↑ "Download Your TI-Nspire™ CAS Student Software - Texas Instruments - US and Canada". Arkiveret fra originalen 20. august 2021. Hentet 20. december 2020.
- ↑ Undervisningmidler - Texas Instruments
- ↑ TI-89 Online Simulator
- ↑ TI-89 / TI-92+ / TI-V200 / TI-89T emulator (beta version 12-debrouxl)
- ↑ http://www-fourier.ujf-grenoble.fr/~parisse/giac/cascmd_en.pdf
- ↑ Differential Equations — Yacas
- ↑ Yacas
