Thymidindifosfat

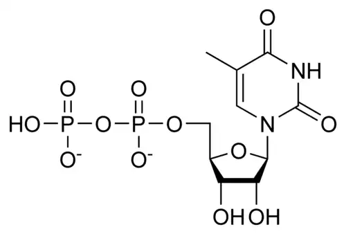
Thymidindifosfat (TDP) er et nukleotid der består af pyrimidin-basen thymin forbundet til (deoxy-)ribose via en N-glykosidbinding, samt to fosfatenheder bundet til riboseenhedens 5'-position via fosfatesterbindinger.

Thymidindifosfat (TDP) er et nukleotid der består af pyrimidin-basen thymin forbundet til (deoxy-)ribose via en N-glykosidbinding, samt to fosfatenheder bundet til riboseenhedens 5'-position via fosfatesterbindinger.