Thymidintrifosfat

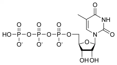
Thymidintrifosfat (TTP) er et nukleotid der består af pyrimidin-basen thymin forbundet til (deoxy-)ribose via en N-glykosidbinding, samt tre fosfatenheder bundet til riboseenhedens 5'-position via fosfatesterbindinger.

Thymidintrifosfat (TTP) er et nukleotid der består af pyrimidin-basen thymin forbundet til (deoxy-)ribose via en N-glykosidbinding, samt tre fosfatenheder bundet til riboseenhedens 5'-position via fosfatesterbindinger.