Uridindifosfat

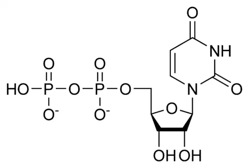
Uridindifosfat (UDP) er et nukleotid der består af pyrimidin-basen uracil forbundet til ribose via en N-glykosidbinding, samt to fosfatenheder bundet til riboseenhedens 5'-position via fosfatesterbindinger.

Uridindifosfat (UDP) er et nukleotid der består af pyrimidin-basen uracil forbundet til ribose via en N-glykosidbinding, samt to fosfatenheder bundet til riboseenhedens 5'-position via fosfatesterbindinger.