Uridintrifosfat

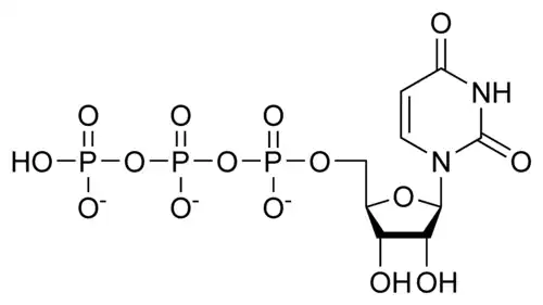
Uridintrifosfat (UTP) er et nukleotid der består af pyrimidin-basen uracil forbundet til ribose via en N-glykosidbinding, samt tre fosfatenheder bundet til riboseenhedens 5'-position via fosfatesterbindinger.

Uridintrifosfat (UTP) er et nukleotid der består af pyrimidin-basen uracil forbundet til ribose via en N-glykosidbinding, samt tre fosfatenheder bundet til riboseenhedens 5'-position via fosfatesterbindinger.