Xiyanping
Identifiers
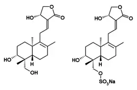
  • 9-dehydro-17-hydro-andrographolide and sodium 9-dehydro-17-hydro-andrographolide-19-yl sulfate
CAS Number
UNII

Xiyanping (喜炎平) is an anti-inflammatory and antiviral preparation developed and licensed for use in China. It is a semi-synthetic injectable product derived from the active component of the plant Andrographis paniculata (Chuan Xin Lian, 穿心蓮),[1] which is used in Traditional Chinese medicine.[2] Xiyanping is primarily composed of 9-dehydro-17-hydro-andrographolide and sodium 9-dehydro-17-hydro-andrographolide-19-yl sulfate.[3] It is used mainly in the treatment of hand, foot and mouth disease, diarrhea, upper respiratory tract infections and viral pneumonia,[4][5][6][7] though one case report suggested it may also be useful in the treatment of Zika fever.[8]

Side effects

Xiyanping injection may be associated with side effects typical of allergic reaction, most commonly erythema and pruritus around the injection site, but more rarely anaphylactic reactions may occur, which can be life-threatening.[9] Also, andrographolide and related derivatives are known to be abortifacient,[10] making xiyanping unsuitable for use in pregnant women.

See also

References

  1. Xiao XW, Fu HZ, Luo YH, Wei XY (2013). "Potential anti-angiogenic sulfates of andrographolide". Journal of Asian Natural Products Research. 15 (8): 809–18. doi:10.1080/10286020.2013.803473. PMID 23777373. S2CID 42522012.
  2. Chen JK, Chen TT (2012). "Chapter 2, Chuan Xin Lian". Chinese Medical Herbology and Pharmacology. Art of Medicine Press. pp. 214–215. ISBN 978-0-9740635-0-8.
  3. Chong L, Chen W, Luo Y, Jiang Z (July 2013). "Simultaneous determination of 9-dehydro-17-hydro-andrographolide and sodium 9-dehydro-17-hydro-andrographolide-19-yl sulfate in rat plasma by UHPLC-ESI-MS/MS after administration of xiyanping injection: application to a pharmacokinetic study". Biomedical Chromatography. 27 (7): 825–30. doi:10.1002/bmc.2866. PMID 23355108.
  4. Zhang P, Xu H, Ling L, Wu X (2012). "Meta analysis of the efficacy of Xiyanping injection in the treatment of autumnal diarrhea in children". Pharmaceutical Care and Research. 12 (5): 349–353. doi:10.5428/pcar20120511.
  5. Wang J, Ren JX, Xie YM, Wang WW, Hu J, Liao X (September 2013). "[Systematic review of xiyanping injection for hand foot mouth disease]". Zhongguo Zhong Yao Za Zhi = Zhongguo Zhongyao Zazhi = China Journal of Chinese Materia Medica (in Chinese). 38 (18): 3215–22. PMID 24471354.
  6. Wang ZF, Chen X, Zhang W, Xie YM (September 2014). "[Literature review on premarketing and postmarketing evidence of xiyanping injection]". Zhongguo Zhong Yao Za Zhi = Zhongguo Zhongyao Zazhi = China Journal of Chinese Materia Medica (in Chinese). 39 (18): 3637–40. PMID 25532411.
  7. Sun SG, Shi YF, Yan H, Li Y, Wang R, Wang SH, Sun XD. Xiyanping Injection in Treatment of Viral Pneumonia in Children: A Meta-analysis of Random Control Trials. Chinese Herbal Medicines. 2015 May; 7(2):173-178. doi: 10.1016/S1674-6384(15)60035-1
  8. Deng Y, Zeng L, Bao W, Xu P, Zhong G (February 2016). "[Experience of integrated traditional Chinese and Western medicine in first case of imported Zika virus disease in China]". Zhonghua Wei Zhong Bing Ji Jiu Yi Xue (in Chinese). 28 (2): 106–9. doi:10.3760/cma.j.issn.2095-4352.2016.02.005. PMID 26911940.
  9. Wang ZF, Xiang YY, Xie YM (September 2013). "[Research on early warning signals of adverse drug reactions to parenterally administered xiyanping based on spontaneous reporting system (SRS) data]". Zhongguo Zhong Yao Za Zhi = Zhongguo Zhongyao Zazhi = China Journal of Chinese Materia Medica (in Chinese). 38 (18): 3008–12. PMID 24471321.
  10. See reference 2 above


This article is issued from Wikipedia. The text is licensed under Creative Commons - Attribution - Sharealike. Additional terms may apply for the media files.