Penicillin
Penicilliner er en gruppe antibiotika udledt fra Penicillium sæksvampe. Penicilliner er historisk vigtige, da de var de første lægemidler, som effektivt kunne behandle en række alvorlige infektionssygdomme som tuberkulose, syfilis og stafylokokinfektioner. Penicilliner er hyppigt anvendt i dag, så mange bakterier er blevet resistente overfor ældre penicilliner. Alle penicilliner er β-lactamantibiotika, og opdagelsen af deres antibakterielle effekt bliver generelt tilskrevet den skotske videnskabsmand Alexander Fleming i 1928.
Denne artikel bør gennemlæses af en person med fagkendskab for at sikre den faglige korrekthed.

Historie
Penicillin blev i 1928 opdaget ved et tilfælde af bakteriologen Alexander Fleming. Under arbejdet med bakterier på St. Mary's Hospital i London blev en af hans petriskåle med stafylokokbakterier kontamineret med svamp. Han observerede, at bakterierne ikke kunne vokse tæt på svampekolonien. Mugsvampen blev senere identificeret til at være Penicillium notatum.
Han fandt ud af, at den antibakterielle aktivitet var til stede i et filtrat af en suppe, hvor svampen havde vokset og kaldte filtratet penicillin.[1] , Fleming dyrkede svampen og undersøgte filtratets effekt på diverse bakterier. Han fandt ud af, at filtratet havde antibakteriel aktivitet på mange sygdomsfremkaldende Gram-positive bakterier, der giver sygdomme som skarlagensfeber, meningitis, lungebetændelse og difteri. Derimod havde det ikke effekt på Gram-negative bakterier, undtagen Neisseria arter der bl.a. giver gonorré og meningitis.[2]
I 1939, mere end ti år efter Flemings heldige opdagelse, lykkedes det Howard Walter Florey og Ernst Boris Chain fra Oxford Universitet at vise penicillinets potentielle muligheder. Året efter kunne de vise, at penicillin havde en klinisk effekt på infektionssygdom i forsøgsdyr, og det lykkedes holdet at udkrystallisere en brunlig penicillinholdig og yderst potent substans. Mængderne, som de fik isoleret, var dog for små til at kunne anvendes til succesfulde kliniske forsøg på mennesker.[3][4]
I 1941 tog de engelske forskere til USA, hvor de fik hjælp fra Peoria Lab til at udvikle en metode til fremstilling af store mængder penicillin. De anvendte en anden stamme af Penicillium chrysogenum, da denne voksede bedre i de dybe fermenteringstanke og derved producerede mere penicillin. I 1943 udførtes de nødvendige kliniske forsøg på mennesker, og produktionen blev hurtigt opskaleret. Det blev således muligt at behandle sårede allierede soldater på D-dag under 2. verdenskrig. Efter intensiv forskning lykkedes det at isolere og oprense benzylpenicillin.
I 1945 blev strukturen af benzylpenicillin opklaret af Dorothy Crowfoot Hodgkin ved hjælp af røntgenkrystallografi. Samme år modtog Fleming, Florey og Chain Nobelprisen i medicin og fysiologi.
I Danmark begyndte Løvens kemiske Fabrik en begrænset penicillinproduktion i efteråret 1943, og året efter blev de første danske patienter med succes behandlet på danske hospitaler.[5] Successen blev omtalt i aviserne, og det var et problem, fordi den tyske besættelsesmagt viste interesse for lægemidlet. Derfor havde ejeren af Løvens kemiske Fabrik, Knud Abildgaard, besluttet, at produktionsanlægget skulle ødelægges, hvis tyskerne ønskede at overtage det. Det blev heldigvis aldrig nødvendigt.[4]
Virkningsmekanisme
Penicilliner virker ved at hæmme dannelsen af peptidoglycan krydsbindinger i bakteriens cellevæg. Det svækker cellevæggen og forårsager, at bakterien lyserer på grund af osmotisk tryk. Ved at efterligne aminosyresekvensen D-alanyl-D-alanin binder β-lactamringen til enzymet DD-transpeptidase (også kaldet det penicillinbindende protein eller PBP), som herved ikke kan danne krydsbindingen.[1]
Kemisk opbygning

Fælles for penicilliner er, at de indeholder en syregruppe, som er med til at gøre molekylet polært. Derfor trænger penicilliner under normale omstændigheder ikke ind i kroppens fedtvæv.
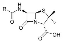
Herudover indeholder alle penicilliner, ligesom mange andre antibiotika, en β-lactam ring. Denne ring giver penicilliner deres bakteriedræbende effekt. Desværre gør ringen også penicilliner til en svag struktur, idet carbonatomer i ringen er placeret i vinkler på 90°, hvilket er langt fra den sædvanlige vinkel mellem carbonatomer på 109,5°.
Derfor anså man det i mange år for umuligt at fremstille penicillin kunstigt, da det bliver nedbrudt af både syre og base. For eksempel kan benzylpenicillin ikke administreres peroralt, da det nedbrydes af mavesyren.
R-gruppen i penicillin grundstrukturen kan udskiftes med andre grupper, hvilket giver de forskellige penicilliner deres forskellige egenskaber. Tilføjes andre grupper opnår penicillinet andre egenskaber, herunder virkning på bakterier, som er resistente overfor visse penicilliner. Phenoxymethylpenicillin har en phenoxymethylgruppe i R positionen. Denne penicillin er modstandsdygtig overfor mavesyre og kan derfor administreres peroralt. Det har dog en svagere effekt end benzylpenicillin.
Anvendelse
Penicilliner anvendes til behandling af infektioner med bakterier. De klassiske penicilliner har størst virkning på Gram-positive bakterier, men i dag er der udviklet penicilliner med virkning også på Gram-negative bakterier.
Penicilliner i klinisk brug
Penicilliner i klinisk brug i Danmark kan inddeles i følgende grupper:[6]
- De klassiske penicilliner: Benzylpenicillin (penicillin G) og phenoxymethylpenicillin (penicillin V).
- Penicillinase-stabile penicilliner: Dicloxacillin og flucloxacillin.
- Penicilliner med virkning på Gram-negative stave: Ampicillin, amoxicillin, pivmecillinam, pivampicillin og mecillinam.
- Penicilliner kombineret med penicillinasehæmmer: Amoxicillin og piperacillin.
Penicillinresistens
Et problem ved hyppig anvendelse af penicillin er risikoen for udvikling af resistens blandt bakterier. Antibiotikaresistens er et generelt og globalt problem, der forårsager mange dødsfald, selv om der bruges store midler på bekæmpelsen.
Penicillinresistens kan opnås på tre måder.
- Bakterier kan danne enzymer (penicillinaser), som spalter β-lactamringen i penicillinet og efterlader det i en uvirksom tilstand. Dette kan modvirkes ved at skifte til andre penicilliner, som disse enzymer ikke kan genkende.
- Bakterier kan også blive resistente ved mutation af generne, der koder for PBP-enzymer, så penicilliners bindingssted ændres, og affiniteten dermed mistes.
- Ændring i efflux- eller transportmekanismer i bakteriens cellemembran.
Bivirkninger
Almindelige bivirkninger ved penicilliner er allergiske reaktioner og maveproblemer. Superinfektioner, f.eks. svampeinfektioner, kan forekomme.
Biosyntese
Penicillin og patentrettigheder
Selvom skotten Sir Alexander Fleming allerede i 1928 opdagede penicillin, blev der ikke taget patent på masseproduktionsmetode for fremstilling af penicillin før 1948 af amerikaneren Andrew J. Moyer.[7]
Dette har medført myter om forholdet mellem essentiel medicin og patentrettigheder.[8] Ifølge Robert Cook-Deegan, direktør for Center for Genome Ethics, Law, and Policy Institute, North Carolina, taler den langsomme patenttagning på penicillin hverken moralsk for eller imod patentinstituttet, men var blot udtryk for sædvanlig praksis for krigsindustriens vigtige opfindelser.[9]. Bl.a. blev en række firmaer tvunget til at arbejde sammen og dele viden med hinanden, og vejen til effektiv produktion var lang og dyr.
Se også
Referencer
- Samuelsson G. (2004) "Drugs of Natural Origin, 5th Edition" Apotekarsocieteten.
- Diggins, F. The true history of the discovery of penicillin by Alexander Fleming Biomedical Scientist, March 2003, Institute of Biomedical Sciences, London. (Originally published in the Imperial College School of Medicine Gazette)
- The History of Penicillin (Webside ikke længere tilgængelig), hentet 2. juni 2009.
- Store opdagelser: Mirakelmidlet penicillin, Videnskab.dk, hentet 20. september 2019.
- 1941: Operationen lykkedes, men den første patient døde. Jyllands-Posten 2016
- Medicin.dk (Webside ikke længere tilgængelig) Accessed 2 June 2009.
- "Hall of Fame" Arkiveret 9. juli 2010 hos Wayback Machine;(engelsk)
- "Medicin og den 3. verden" Arkiveret 5. marts 2016 hos Wayback Machine;
- "Penicillin og patentrettigheder";(engelsk)
.jpg.webp)