Teikoidsyre
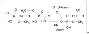
Teikoidsyrer er polymerer af glycerol eller ribitol, som er forbundet ved hjælp af fosfodiesterbindinger. Disse syrer findes i cellevæggen hos de Gram-positive bakterier (f.eks. slægterne Staphylococcus, Streptococcus, Bacillus, Clostridium, Corynebacterium og Listeria), hvor de tilsyneladende når helt frem til overfladen af peptidoglycanlaget. Teikoidsyrer findes ikke hos de Gram-negative bakterier.

De kan enten være bundet kovalent til N-acetylmuraminsyren i peptidoglycanlaget eller forbundet med lipider i membranen uden om cytoplasmaet. Disse sammenbundne enheder af teikoidsyrer og lipider kaldes lipoteikoidsyrer. Teikoidsyrer er negativt ladede og bidrager derfor til den negative ladning i den gram-positive cellevæg. Endvidere kan de styrke cellevæggens struktur.